Accurate and efficient calculation of compressible flow parameters is paramount in numerous engineering disciplines, from aerospace and propulsion design to chemical processing and pipeline engineering. The complexities inherent in compressible flow, governed by the interplay of pressure, temperature, density, and velocity under conditions where density variations are significant, necessitate the use of specialized tools. Traditional manual calculations are often time-consuming, prone to error, and struggle to handle the intricate relationships described by governing equations like the isentropic relations and the energy equation. Consequently, the development of sophisticated compressible flow calculators represents a critical advancement, streamlining the design process, optimizing performance predictions, and ultimately improving engineering efficiency and accuracy. These calculators, often integrated into comprehensive computational fluid dynamics (CFD) software packages or presented as standalone applications, offer a robust and versatile approach to handling the intricacies of compressible flow phenomena. Furthermore, the capacity for rapid iterative analysis, facilitated by these computational tools, allows engineers to explore a wider range of design parameters and optimize system performance in ways previously impractical using traditional methodologies. This accessibility to powerful computational resources significantly accelerates the design cycle and minimizes the reliance on potentially less accurate approximations, contributing to more reliable and efficient engineering solutions. The user-friendliness of many modern calculators further enhances their value, making them accessible to engineers across various experience levels and skill sets. In essence, these computational tools have become indispensable assets in the modern engineer’s arsenal.
Moreover, the capabilities of modern compressible flow calculators extend far beyond the basic calculations of fundamental parameters. Many advanced calculators incorporate sophisticated models that account for factors such as friction losses, heat transfer, and the effects of non-ideal gases. This enhanced modeling fidelity allows for a more realistic and nuanced representation of real-world flow conditions. For instance, the inclusion of friction factors enables the accurate prediction of pressure drops in pipelines or ducts, crucial for optimizing system design and avoiding potential performance bottlenecks. Similarly, the incorporation of heat transfer models allows for analysis of thermally complex systems, where energy exchange between the fluid and its surroundings significantly impacts flow characteristics. In addition to these core functionalities, many advanced calculators also offer features such as graphical visualization of results, facilitating a clearer understanding of complex flow patterns and assisting in the identification of potential design flaws or areas for optimization. This visual representation transforms raw data into readily interpretable insights, thereby enhancing the overall decision-making process. Furthermore, the ability to seamlessly integrate compressible flow calculations within larger, more comprehensive simulation frameworks, such as CFD software, further underscores the importance and versatility of these tools. This integration empowers engineers to perform coupled simulations, considering the interaction between compressible flow and other relevant physical phenomena, leading to a more holistic and accurate understanding of system performance. In short, the sophistication and multifaceted capabilities of modern compressible flow calculators significantly impact engineering design and analysis.
Finally, the ongoing development and refinement of compressible flow calculators are driven by the constant demand for improved accuracy, efficiency, and expanded functionalities. Future iterations will likely incorporate even more sophisticated models and algorithms to account for increasingly complex flow scenarios. For example, advanced turbulence models will be integrated to better predict flow behavior in turbulent regimes, while improvements in numerical methods will enhance computational efficiency and accuracy. The integration of artificial intelligence (AI) and machine learning (ML) techniques also holds significant promise for automating complex calculations and providing predictive capabilities. AI-powered algorithms could potentially optimize designs autonomously, explore a wider range of design options, and even predict potential failure points, thereby enhancing both design efficiency and reliability. Furthermore, the development of user-friendly interfaces and intuitive workflows will continue to make these powerful tools accessible to a broader range of engineers and researchers. The integration of these calculators into cloud-based platforms promises further enhanced accessibility and collaborative opportunities, facilitating seamless data sharing and collaborative design efforts. In conclusion, the evolution of compressible flow calculators continues to drive innovation across various engineering disciplines, solidifying their crucial role in the design, analysis, and optimization of a wide array of complex systems.
Introduction to Compressible Flow and its Applications
What is Compressible Flow?
Unlike incompressible flow, where the density of the fluid remains essentially constant, compressible flow deals with situations where the density of the fluid changes significantly due to pressure variations. This change in density directly impacts the fluid’s behavior, leading to phenomena not observed in incompressible flows. Think of squeezing a balloon – you’re changing the air’s density, and its pressure consequently changes. This is the essence of compressible flow. The level of compressibility is usually characterized by the Mach number (M), which is the ratio of the fluid’s velocity to the speed of sound in that fluid. Flows with Mach numbers below 0.3 are generally considered incompressible, as the density changes are minimal and can be neglected for many engineering applications. However, as the Mach number approaches and exceeds 1 (the speed of sound), compressibility effects become dominant and must be accounted for. This transition from subsonic to supersonic flow introduces complexities such as shock waves, expansion waves, and significant changes in pressure, temperature, and density.
The Role of the Speed of Sound
The speed of sound plays a crucial role in defining compressible flow regimes. It represents the speed at which small pressure disturbances propagate through the fluid. The speed of sound itself is dependent on the fluid’s properties, primarily its temperature and composition. In gases, the speed of sound is directly related to the gas’s temperature and molecular weight. A higher temperature leads to a higher speed of sound, meaning disturbances travel faster. Understanding the speed of sound is paramount in predicting and analyzing the behavior of compressible flows, especially in high-speed applications.
Why is Understanding Compressible Flow Important?
Comprehending compressible flow is vital for a wide range of engineering applications where high velocities are involved. Miscalculating compressible effects can lead to inaccurate designs, inefficient performance, and even catastrophic failures. Accurate prediction and analysis of these flows are essential for safety and optimal design. Examples of applications where accurate modeling of compressible flow is critical include aerospace engineering (design of aircraft and rockets), gas turbine engines, high-speed trains, and certain industrial processes involving high-pressure gases.
Applications of Compressible Flow
Compressible flow is a core subject within various engineering disciplines, particularly aerospace, mechanical, and chemical engineering. Its significance stems from its direct applicability to numerous real-world scenarios involving high-velocity fluid motion. Let’s explore some key applications:
| Application Area | Specific Examples |
|---|---|
| Aerospace Engineering | Aircraft design (aerodynamics, propulsion), rocket nozzle design, hypersonic flight |
| Gas Turbine Engines | Compressor and turbine blade design, combustion chamber analysis, nozzle design |
| Chemical Engineering | High-pressure pipelines, gas flow in reactors, supersonic nozzles for materials processing |
| Automotive Engineering | Internal combustion engine design, high-speed vehicle aerodynamics |
These examples highlight the broad reach and crucial role of compressible flow analysis in modern engineering. Further understanding of the principles and tools used to analyze these flows is essential for designing safe, efficient, and effective systems.
Fundamental Principles Governing Compressible Flow Calculations
1. Conservation Laws
Compressible flow calculations hinge on the fundamental laws of conservation: mass, momentum, and energy. The conservation of mass principle, often expressed as the continuity equation, states that the mass flow rate remains constant along a streamline in a steady flow. This means that the product of density, area, and velocity remains constant. The conservation of momentum principle, embodied in the Navier-Stokes equations (simplified for certain flow regimes), describes the forces acting on a fluid element and its resulting acceleration. Finally, the conservation of energy principle, often expressed through the energy equation, accounts for changes in internal energy, kinetic energy, and potential energy of the fluid. These three principles are intrinsically linked, and their simultaneous solution provides a complete description of the flow field.
2. Equation of State and Thermodynamic Relationships
Accurately modeling compressible flow requires a precise understanding of the fluid’s thermodynamic properties. The equation of state provides a crucial link between pressure, density, and temperature. For many applications, especially those involving air at moderate temperatures and pressures, the ideal gas law (PV = nRT) offers a sufficiently accurate approximation. This simple equation relates pressure (P), volume (V), the number of moles (n), the ideal gas constant (R), and absolute temperature (T). However, for higher pressures or extreme temperatures, more sophisticated equations of state, such as the van der Waals equation or real gas equations, might be necessary to account for intermolecular forces and non-ideal behavior.
Beyond the equation of state, thermodynamic relationships like specific heats (at constant pressure, Cp, and constant volume, Cv), and the ratio of specific heats (γ = Cp/Cv), are critical. These properties govern the relationship between temperature changes and pressure or volume changes during adiabatic processes (processes without heat transfer). The ratio of specific heats, γ, appears prominently in many compressible flow equations and significantly impacts the speed of sound and other flow characteristics. For example, the speed of sound (a) in an ideal gas is directly proportional to the square root of γ times the absolute temperature and inversely proportional to the square root of the molar mass. Understanding these thermodynamic relations is essential for determining the properties of the fluid under various conditions encountered in compressible flows. This understanding is crucial for accurate compressible flow calculations and simulations.
| Property | Symbol | Units (SI) | Typical Value (Air at Standard Conditions) |
|---|---|---|---|
| Pressure | P | Pa (Pascals) | 101325 Pa |
| Density | ρ | kg/m³ | 1.225 kg/m³ |
| Temperature | T | K (Kelvin) | 288.15 K |
| Specific Heat at Constant Pressure | Cp | J/(kg·K) | 1005 J/(kg·K) |
| Specific Heat at Constant Volume | Cv | J/(kg·K) | 718 J/(kg·K) |
| Ratio of Specific Heats | γ | - | 1.4 |
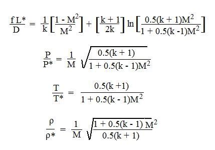
3. Isentropic Flow Relations
Isentropic flow, characterized by adiabatic and reversible processes, simplifies many compressible flow analyses. These conditions often apply to high-speed flows where frictional effects are negligible. Isentropic flow relations link various flow parameters, such as Mach number (the ratio of flow velocity to the speed of sound), pressure, density, and temperature, allowing for efficient calculations of flow properties along a streamline. These relations are particularly useful for understanding phenomena like choked flow in nozzles and diffusers.
Key Parameters and Variables in Compressible Flow Analysis
1. Understanding Mach Number (M)
The Mach number is arguably the most crucial parameter in compressible flow analysis. It’s the ratio of the flow velocity (V) to the local speed of sound (a) in the fluid. A Mach number less than 1 signifies subsonic flow, where the flow velocity is slower than the speed of sound. A Mach number equal to 1 represents sonic flow (the speed of sound), while a Mach number greater than 1 indicates supersonic flow, where the flow velocity surpasses the speed of sound. The Mach number is dimensionless and profoundly influences the characteristics of the flow, dictating whether effects like shock waves will be present. Accurate determination of the Mach number is fundamental to any compressible flow calculation.
2. Pressure (P), Density (ρ), and Temperature (T)
These three thermodynamic properties are intrinsically linked in compressible flows and are constantly changing throughout the flow field. Pressure, representing the force exerted per unit area, is a key indicator of the flow’s energy state. Density, representing mass per unit volume, indicates how much fluid is packed into a given space. Temperature, a measure of the average kinetic energy of the fluid molecules, significantly affects the speed of sound and, consequently, the Mach number. Changes in any one of these parameters influence the others, necessitating an iterative or simultaneous approach to many compressible flow calculations. The relationship between these parameters is often governed by equations of state, such as the ideal gas law, which forms the basis for many compressible flow models.
3. Stagnation Properties and Their Significance
In compressible flow analysis, understanding stagnation properties is critical. Stagnation properties refer to the thermodynamic properties of a fluid if it were isentropically brought to rest. This means that the fluid is slowed down adiabatically (without heat transfer) and reversibly (without friction or other losses). Key stagnation properties include stagnation pressure (P0), stagnation temperature (T0), and stagnation density (ρ0). These values represent the maximum pressure, temperature, and density a fluid element can reach without any losses. They are incredibly useful because they remain constant along a streamline in an adiabatic, frictionless flow. This property makes them powerful tools for analyzing compressible flows.
Importance of Stagnation Properties in Calculations:
The significance of stagnation properties stems from their constancy along streamlines in ideal flows. This simplifies analyses considerably, particularly in complex geometries. For example, if you know the stagnation pressure at one point in a flow, you can predict the static pressure at other points, even where the flow velocity is changing drastically, provided the flow remains isentropic. This feature drastically simplifies complex flow calculations by providing conserved quantities.
Practical Applications of Stagnation Properties:
Stagnation properties find widespread applications in various aspects of compressible flow calculations. For example, they are essential in designing supersonic nozzles and diffusers, where the accurate prediction of pressure and temperature changes is paramount. They’re also utilized extensively in aircraft design, helping engineers analyze the performance of engines and aerodynamic surfaces operating at high speeds. Accurate determination of stagnation properties enables better prediction of performance parameters, leading to efficient designs and minimizing energy losses.
Table Illustrating Stagnation Properties:
| Property | Symbol | Relationship to Static Properties (Isentropic Flow) |
|---|---|---|
| Stagnation Pressure | P0 | P0 = P (1 + (γ-1)/2 * M²)γ/(γ-1) |
| Stagnation Temperature | T0 | T0 = T (1 + (γ-1)/2 * M²) |
| Stagnation Density | ρ0 | ρ0 = ρ (1 + (γ-1)/2 * M²)1/(γ-1) |
Where: P = static pressure, T = static temperature, ρ = static density, M = Mach number, and γ = ratio of specific heats.
Types of Compressible Flow Calculators and Their Capabilities
1. Introduction to Compressible Flow Calculators
Compressible flow calculators are essential tools for engineers and scientists working with gases where the density changes significantly due to pressure and temperature variations. These calculators simplify complex calculations, providing quick and accurate results for a variety of scenarios. They handle the non-linear relationships inherent in compressible flow, which are significantly more challenging than incompressible flow calculations. The accuracy and capabilities of these calculators depend heavily on the underlying equations used and the assumptions made.
2. Basic Calculators: Isentropic Flow
Many introductory-level compressible flow calculators focus on isentropic flow – adiabatic and reversible processes. These calculators typically solve for parameters such as Mach number, pressure, temperature, and density at different points in a flow system, given certain initial conditions. Simpler calculators may only handle specific isentropic flow cases, like flow through a converging-diverging nozzle. They usually assume a perfect gas and constant specific heats, simplifying the calculations while maintaining reasonable accuracy for many practical applications.
3. Advanced Calculators: Non-Isentropic and Real Gas Effects
More sophisticated calculators go beyond isentropic assumptions. They incorporate effects like friction, heat transfer, and shock waves. These calculators often use numerical methods like finite difference or finite volume techniques to solve the governing equations – the Navier-Stokes equations, often simplified for specific flow geometries. They may also consider real gas effects, accounting for deviations from the ideal gas law at high pressures and low temperatures, leading to more accurate results in extreme conditions.
4. Specialized Compressible Flow Calculators and Their Applications
The field of compressible flow encompasses a vast range of applications, necessitating specialized calculators designed for specific scenarios. These calculators build upon the foundational principles but include additional complexities and features. For example, calculators designed for nozzle and diffuser design often incorporate detailed equations to handle the complex flow patterns and shock formation within these components. They may predict the performance of different nozzle geometries, enabling optimization for specific thrust or flow rate requirements.
Another specialized area involves the analysis of supersonic and hypersonic flows, where effects like dissociation and ionization become significant. Calculators dedicated to these regimes account for these high-temperature phenomena, incorporating complex thermodynamic models and employing sophisticated numerical methods to accurately predict flow characteristics. These high-speed flow simulations are critical in the aerospace industry for designing efficient and stable aircraft, spacecraft, and propulsion systems.
Furthermore, calculators for analyzing flows in turbomachinery, such as compressors and turbines, often include specific modules to model blade profiles, rotating frame effects, and the complex three-dimensional nature of flow within these components. Accurate predictions of performance parameters, such as efficiency and pressure rise, are vital for designing effective and efficient power generation systems and aircraft engines. The intricacies of these specialized calculators often necessitate the use of advanced computational fluid dynamics (CFD) solvers.
| Calculator Type | Capabilities | Applications |
|---|---|---|
| Isentropic Flow Calculator | Calculates Mach number, pressure, temperature, and density for isentropic processes. Assumes perfect gas and constant specific heats. | Preliminary design, educational purposes, simple flow analyses |
| Non-Isentropic Flow Calculator (with friction and heat transfer) | Includes friction, heat transfer, and shock wave effects. May use numerical methods. | More realistic flow analyses, nozzle design, duct flow analysis. |
| Supersonic/Hypersonic Flow Calculator | Accounts for dissociation and ionization at high temperatures. Employs advanced numerical techniques. | Aerospace design (aircraft, spacecraft, propulsion systems). |
| Turbomachinery Flow Calculator | Models blade profiles, rotating frame effects, and three-dimensional flows. | Design of compressors, turbines, and other turbomachinery components. |
Utilizing Compressible Flow Calculators for Specific Applications (e.g., nozzle design, shock wave analysis)
Nozzle Design
Nozzles are crucial components in many engineering systems, from rocket propulsion to industrial gas turbines. Their design hinges on efficiently accelerating a compressible fluid, often to supersonic speeds. Compressible flow calculators are invaluable here, enabling engineers to predict the flow properties (pressure, temperature, velocity, Mach number) at various points along the nozzle contour. By iteratively adjusting the nozzle geometry within the calculator, designers can optimize for parameters like thrust, efficiency, and the prevention of undesirable shock waves. These calculators often incorporate equations like the isentropic flow relations and the method of characteristics to model the complex flow behavior. The ability to quickly visualize the predicted flow field helps in iterative design refinement, reducing the need for extensive and costly experimental testing.
Shock Wave Analysis
Shock waves, regions of abrupt changes in flow properties, are inherent in many high-speed compressible flows. Understanding their characteristics is critical for ensuring the structural integrity and performance of aerospace vehicles and other high-speed systems. Compressible flow calculators assist in analyzing shock waves by numerically solving governing equations such as the Rankine-Hugoniot relations, which describe the jump conditions across a shock. By inputting upstream flow conditions, calculators can predict downstream properties, shock location, and wave strength. This analysis informs critical design decisions related to minimizing shock-induced drag or structural stresses.
Turbomachinery Blade Design
Turbomachinery, including gas turbines and compressors, relies heavily on the efficient handling of compressible flows through rotating blade passages. The complex three-dimensional flow patterns make analytical solutions challenging. Compressible flow calculators, often incorporating computational fluid dynamics (CFD) principles, facilitate the analysis and design optimization of turbine and compressor blades. Engineers can model the flow through the blade rows, predicting pressure and velocity distributions and identifying regions of potential flow separation or shock formation. This leads to more efficient and robust designs, improving overall performance and durability.
Scramjet Engine Design
Scramjets operate at hypersonic speeds, posing significant computational challenges due to the extreme flow conditions and complex chemical reactions. Specialized compressible flow calculators, often integrated with chemical kinetics models, are vital for designing and optimizing these engines. They enable the prediction of flow properties within the combustion chamber and nozzle, crucial for determining the engine’s thrust and efficiency. The calculators account for the effects of high temperatures, dissociation, and ionization, providing crucial insights into the performance and limitations of scramjet designs. Detailed simulations help reduce the reliance on costly experimental testing and improve the overall development process.
Wind Tunnel Testing and Data Analysis
Wind tunnel testing plays a crucial role in validating aerodynamic designs and understanding flow phenomena. Compressible flow calculators are essential tools both before and after testing. Prior to testing, calculators can be used to estimate expected flow conditions within the wind tunnel test section, helping to optimize the test setup and ensure the experiment is properly designed and executed. This involves selecting the appropriate nozzle configuration and evaluating the influence of boundary conditions. After testing, calculators can be used to analyze collected experimental data, helping to interpret results and assess the accuracy of computational models. They are also useful in extending the applicability of test results to different flow conditions by allowing extrapolation from the data obtained from the experimental setups. For example, a wind tunnel test may be conducted at a particular Mach number, but the calculator can be used to estimate the flow properties at a slightly different Mach number without needing another experimental test. This makes the compressible flow calculator a vital tool in the validation process. This iterative process of prediction, experimentation, and analysis is key to the effective design and optimization of aerospace systems and components that are subjected to compressible flow conditions.
| Stage | Calculator Application | Benefits |
|---|---|---|
| Pre-Testing | Estimating flow conditions, optimizing test setup | Improved test design, reduced experimental uncertainty |
| Post-Testing | Analyzing experimental data, validating computational models, extrapolating results | Enhanced data interpretation, improved model accuracy, broader design applicability |
Input Data Requirements and Validation for Accurate Results
1. Understanding the Essentials: Necessary Input Parameters
Accurate compressible flow calculations hinge on providing the right input data. A compressible flow calculator typically requires several key parameters to model the flow conditions effectively. These parameters often include the fluid’s properties (specific heat ratio, gas constant), the initial conditions (pressure, temperature, velocity), and geometric information about the flow domain (area, length, angles).
2. Fluid Properties: The Foundation of Calculation
The accuracy of the calculation is directly linked to how well you define the fluid properties. For ideal gases, the specific heat ratio (γ) and the gas constant (R) are crucial. For real gases, you may need to use more complex equations of state, and specifying additional parameters like the critical temperature and pressure might be necessary. Inaccurate or incomplete fluid property information leads to significant errors in the results.
3. Initial Conditions: Setting the Stage for the Flow
The initial conditions of the flow must be carefully specified. This usually includes the static pressure (P), static temperature (T), and velocity (V) at the inlet or a reference point. Inconsistent or poorly defined initial conditions introduce uncertainty and propagate errors throughout the calculation. Ensure you use consistent units throughout the input data.
4. Geometric Considerations: Shaping the Flow Path
The geometry of the flow path significantly influences the flow characteristics. For simple geometries like nozzles and pipes, you may only need to input the cross-sectional area and length. However, for more complex geometries, a more detailed description may be needed, potentially involving numerical methods for solving the governing equations.
5. Units and Consistency: A Crucial Aspect
Maintaining consistent units throughout the input data is paramount to obtaining accurate results. Using a mix of units (e.g., meters and feet) can lead to significant errors. Always choose a consistent unit system (e.g., SI units) and adhere to it for all input parameters. Most calculators will specify the required unit system, so carefully review this information.
6. Data Validation and Error Handling: Ensuring Reliable Results
6.1 Input Range Checks
A robust compressible flow calculator should incorporate input range checks to prevent unrealistic values from being entered. For instance, pressure, temperature, and velocity should fall within physically realistic ranges. The calculator should flag any values outside these acceptable ranges, preventing the calculation from proceeding with potentially nonsensical inputs.
6.2 Consistency Checks
Internal consistency checks are essential to ensure the validity of the input data. For example, the calculator can verify that the specified Mach number is consistent with the pressure, temperature, and velocity values. Discrepancies could indicate errors in the input data. Furthermore, the calculator might perform checks on the geometric parameters, ensuring they are physically possible (e.g., a nozzle cannot have a negative area).
6.3 Error Messages and Feedback
Clear and informative error messages are crucial for identifying and rectifying input errors. If an invalid input is detected, the calculator should provide specific feedback indicating which parameter is incorrect and why. This helps the user understand the problem and correct the input data. Good error handling can significantly improve the user experience and reduce calculation errors.
6.4 Example of Input Validation Table
| Parameter | Valid Range | Error Message |
|---|---|---|
| Pressure (Pa) | 100 - 106 | “Pressure value out of range. Please enter a value between 100 and 106 Pa.” |
| Temperature (K) | 100 - 1000 | “Temperature value out of range. Please enter a value between 100 and 1000 K.” |
| Velocity (m/s) | 0 - 1000 | “Velocity value out of range. Please enter a value between 0 and 1000 m/s.” |
Interpreting Results and Understanding Limitations of Compressible Flow Calculations
Interpreting Pressure, Temperature, and Velocity Results
Compressible flow calculators provide a wealth of information, primarily concerning pressure, temperature, and velocity changes throughout the flow field. Understanding how these parameters interact is crucial. For instance, a decrease in area in a converging nozzle will typically lead to an increase in velocity and a corresponding decrease in pressure and temperature (assuming adiabatic conditions). However, the exact relationship is complex and governed by the compressible flow equations. It’s important to carefully analyze the calculated values in relation to the specific boundary conditions and assumptions of the calculation. The units of measurement should also be meticulously verified to prevent misinterpretations.
Identifying Choking Conditions
Many compressible flow scenarios involve the phenomenon of choking, where the flow velocity reaches the local speed of sound. Compressible flow calculators should highlight this condition, which significantly impacts the flow behavior downstream. Once choking occurs, further reductions in downstream pressure will not increase the mass flow rate. Recognizing the presence or absence of choking is vital for designing and optimizing systems like nozzles and diffusers. The calculator should clearly indicate the Mach number (ratio of flow velocity to the speed of sound) at various points, providing a direct measure of how close the flow is to choking.
Understanding the Impact of Assumptions
Compressible flow calculations often rely on certain simplifying assumptions, including adiabatic (no heat transfer), isentropic (reversible adiabatic), or steady-state flow. These assumptions simplify the governing equations, making calculations feasible. However, real-world flows rarely perfectly adhere to these idealizations. For example, friction in a pipe leads to non-isentropic flow and energy losses. Discrepancies between calculated results and experimental data can often be attributed to the limitations of these simplified models. It is critical to assess the validity of these assumptions for the particular application to understand the potential limitations of the calculated results. A sensitivity analysis, if possible, can shed light on how much these assumptions influence the output.
Accounting for Real Gas Effects
Most calculators operate on the assumption of a perfect gas. While a good approximation for many applications, real gases deviate from this ideal behavior, particularly at high pressures and low temperatures. Real gas effects can significantly alter the calculated values of pressure, temperature, and density. If high accuracy is needed, you should incorporate more realistic equations of state which account for intermolecular forces, or use a specialized calculator designed for real gas conditions. The level of accuracy needed should be carefully considered in the context of the application.
Evaluating Numerical Errors
Compressible flow calculations often rely on numerical methods to solve the governing equations. These methods can introduce numerical errors that influence the accuracy of the results. The magnitude of these errors depends on the chosen numerical scheme and the mesh resolution (in the case of computational fluid dynamics solvers). A finer mesh generally increases accuracy but at the cost of increased computational time and resources. Understanding the potential sources of numerical errors and implementing appropriate numerical methods is crucial for obtaining reliable results. Many calculators provide options for adjusting the numerical tolerance; users should be aware of this and adjust as needed.
The Influence of Boundary Conditions
The accuracy and relevance of compressible flow calculations are heavily dependent on the accuracy and appropriateness of the boundary conditions specified. These conditions define the state of the flow at the boundaries of the computational domain. Inaccurate or incomplete boundary conditions can lead to erroneous or misleading results. For instance, specifying an incorrect inlet pressure or temperature will propagate throughout the calculation, yielding inaccurate values for other parameters. It is essential to carefully define the boundary conditions based on the specific physical configuration of the system. If some conditions are uncertain, a sensitivity analysis can evaluate their impact on the overall solution.
Limitations Specific to Computational Tools and Methods
The accuracy and applicability of a compressible flow calculation are fundamentally constrained by the underlying computational tools and numerical methods employed. Different calculators utilize distinct algorithms and numerical schemes, each possessing unique strengths and weaknesses. For example, some methods might excel in handling shocks, while others are better suited for capturing subtle changes in flow parameters. Furthermore, the computational resources available – such as processing power and memory – can limit the complexity of the simulations that can be performed. A simple calculator might employ approximate analytical methods, neglecting complex effects; conversely, advanced CFD solvers might require substantial computational power and expertise. The choice of calculator should reflect the trade-off between accuracy, computational cost, and the complexity of the flow being simulated. It’s prudent to be aware of the limitations of the specific software you’re using and consult the relevant documentation to fully understand its capabilities and constraints.
| Calculator Type | Strengths | Weaknesses | Suitable Applications |
|---|---|---|---|
| Simple Analytical Calculator | Fast, easy to use | Limited accuracy, relies on strong assumptions | Preliminary design, educational purposes |
| Advanced CFD Solver | High accuracy, handles complex geometries | Computationally expensive, requires expertise | Detailed design, research applications |
Advanced Features and Considerations in Compressible Flow Software
8. Handling Complex Geometries and Meshing Strategies
Accurately simulating compressible flow often hinges on effectively representing the flow domain’s geometry. Simple geometries, like a straight pipe or a symmetric airfoil, are relatively straightforward to model. However, real-world applications rarely present such simplicity. Turbine blades, aircraft fuselages, and internal combustion engine components possess intricate shapes demanding sophisticated meshing techniques.
Structured vs. Unstructured Meshes
Compressible flow solvers typically utilize either structured or unstructured meshes. Structured meshes consist of regularly ordered cells, often exhibiting a simple Cartesian or cylindrical arrangement. While easier to generate, they struggle with complex geometries, requiring significant compromises in mesh resolution and potentially leading to inaccuracies. Unstructured meshes, on the other hand, offer unparalleled flexibility. They can adapt to arbitrarily complex shapes using a variety of cell types (triangles, quadrilaterals, tetrahedra, etc.). This adaptability allows for finer resolution in critical regions (e.g., near shock waves or boundary layers), enhancing simulation accuracy. However, unstructured meshes require more computational resources to generate and process.
Adaptive Mesh Refinement (AMR)
To further optimize computational efficiency and accuracy, many advanced solvers incorporate Adaptive Mesh Refinement (AMR). AMR dynamically adjusts the mesh density during the simulation. Initially, a coarse mesh might suffice. However, as the simulation progresses, the solver automatically refines the mesh in areas exhibiting high gradients or complex flow features (like shocks). This targeted refinement improves accuracy without the computational burden of a uniformly fine mesh throughout the entire domain. It’s particularly beneficial for capturing transient phenomena and resolving fine-scale details.
Mesh Quality and its Impact
Regardless of the mesh type, the quality of the mesh is paramount. Poorly shaped elements (e.g., highly skewed or excessively stretched cells) can lead to inaccurate results and numerical instability. Advanced software packages often incorporate mesh quality metrics and tools to identify and improve problematic elements. These tools help ensure a robust and reliable simulation. The table below summarizes some key aspects to consider:
| Mesh Type | Advantages | Disadvantages |
|---|---|---|
| Structured | Easy to generate, efficient solvers | Limited flexibility for complex geometries |
| Unstructured | High flexibility for complex geometries | More computationally expensive to generate and solve |
| Adaptive Mesh Refinement (AMR) | Optimized accuracy and computational efficiency | Increased complexity in setup and management |
Choosing the appropriate meshing strategy and ensuring high mesh quality are crucial steps in achieving accurate and reliable results in compressible flow simulations.
Troubleshooting Common Issues and Ensuring Calculation Accuracy
Understanding and Addressing Convergence Issues
Compressible flow calculations, particularly those involving iterative numerical methods, can sometimes struggle to converge to a solution. This means the iterative process doesn’t settle on a stable answer, instead oscillating or diverging. Several factors can contribute to this.
Initial Guess Sensitivity
The initial guess for the solution variables (e.g., Mach number, pressure, temperature) significantly impacts convergence. A poor initial guess, far from the actual solution, can lead to divergence. Experiment with different starting values, perhaps informed by simpler estimations or known boundary conditions. Consider using a relaxation factor to gradually adjust the solution during iteration, preventing drastic jumps that can destabilize the process.
Mesh Refinement and Quality
For computational fluid dynamics (CFD) simulations, the mesh quality plays a crucial role. Poorly shaped elements (e.g., highly skewed or excessively distorted cells) can impede convergence. Refining the mesh, particularly in regions of high gradients or complex geometry, often improves results. Ensure your mesh generator creates high-quality elements with appropriate aspect ratios and a smooth distribution of cell sizes. Tools that check mesh quality (e.g., checking minimum angles or skewness) can identify problematic areas to be fixed.
Numerical Scheme Selection
The choice of numerical scheme (e.g., upwind, central differencing) directly affects stability and convergence. First-order schemes are generally more robust but less accurate, while higher-order schemes offer better accuracy but might be more prone to instability. Experiment with different schemes to find a balance between accuracy and stability. Using a more robust scheme, even at the cost of reduced accuracy, can sometimes be the key to obtaining a solution. Some schemes may also be better suited for specific flow regimes (e.g., supersonic vs. subsonic flow).
Boundary Condition Issues
Incorrectly specified boundary conditions can readily cause convergence problems. Double-check your boundary conditions to ensure they are physically realistic and correctly implemented in the calculator. Inconsistent or contradictory boundary conditions will often lead to instability. Pay close attention to the boundary conditions at inlets, outlets, and walls, verifying that they accurately reflect the system being modeled.
Physical Model Limitations
The underlying physical model itself might be unsuitable for the specific flow conditions. For instance, a simplified model neglecting viscosity or turbulence may be inadequate for flows with significant viscous effects or turbulent behavior. Consider refining the physical model to better capture the complexities of the flow. This might involve incorporating turbulence models or more sophisticated equations of state.
Ensuring Calculation Accuracy: Best Practices
Accurate results demand careful attention to detail at every step. Let’s review some crucial steps.
Input Data Validation
Always scrutinize your input data for errors. Double-check units, ensure values are within reasonable physical limits, and review for any inconsistencies. A simple typo in a single input parameter can significantly affect the final result. Many calculators provide error-checking functionality to highlight potential problems early in the process.
Independent Verification
When possible, compare your calculated results with those obtained using different methods or from reliable published data. Discrepancies require investigation. This comparison offers a degree of confidence in your results and helps identify potential errors in your setup or calculations. Use well-established benchmark cases to validate your calculator’s performance.
Sensitivity Analysis
Conduct a sensitivity analysis to assess how changes in input parameters affect the output. This helps identify which parameters are most critical and helps you understand the uncertainty associated with your results. A well-designed sensitivity analysis quantifies the impact of each parameter’s uncertainty on the overall result.
| Parameter | Sensitivity | Action |
|---|---|---|
| Inlet Temperature | High | Carefully check accuracy of temperature measurement. |
| Pressure Ratio | Medium | Refine measurement if needed. |
| Gas Constant | Low | Use high-precision gas constant value. |
Implementing these steps and troubleshooting strategies significantly improves the reliability and accuracy of compressible flow calculations.
Compressible Flow Calculator: A Powerful Tool for Engineering Analysis
Compressible flow calculators are invaluable tools for engineers and scientists working with fluid dynamics problems involving gases at high speeds or significant pressure changes. These calculators provide a rapid and efficient means of determining key parameters in compressible flows, eliminating the need for complex manual calculations and reducing the potential for human error. Their accuracy, dependent on the underlying equations and algorithms employed, can significantly enhance the speed and reliability of design processes and analytical studies. While simplified models often form the basis of such calculators, they provide a crucial first approximation and rapid feedback in iterative design cycles. Sophisticated calculators, incorporating advanced numerical methods, can handle more intricate scenarios and provide a high degree of precision. The availability of these calculators, either as standalone software or integrated within larger computational fluid dynamics (CFD) packages, has profoundly impacted the efficiency and accuracy of engineering analysis across numerous industries.
The value of a compressible flow calculator extends beyond simply providing numerical solutions. By offering immediate feedback on the effects of changes in input parameters (such as Mach number, pressure, temperature, and area), these calculators facilitate a deeper understanding of the underlying physical phenomena. This iterative process, facilitated by the instant feedback, allows for quicker optimization of designs and better informed decision-making. Furthermore, the ability to explore a wider range of design parameters leads to more robust and efficient solutions. The utilization of these calculators contributes to a more streamlined workflow, permitting engineers to allocate more time to conceptual design and higher-level analysis rather than tedious calculations.
However, it’s crucial to acknowledge the limitations of such tools. The accuracy of the results is intrinsically tied to the accuracy of the input data and the underlying assumptions of the chosen model. Users must possess a strong understanding of compressible flow principles to interpret the results correctly and understand the limitations of the employed model. Complex flow scenarios may require more sophisticated CFD techniques beyond the capabilities of a typical compressible flow calculator. Therefore, these calculators serve best as valuable aids in the engineering process, providing efficient calculations and valuable insights, but they should not replace a comprehensive understanding of fluid mechanics principles.
People Also Ask About Compressible Flow Calculators
What are the key parameters calculated by a compressible flow calculator?
Mach Number
A compressible flow calculator typically calculates the Mach number, representing the ratio of the flow velocity to the speed of sound in the medium. This dimensionless number is crucial in determining whether a flow is subsonic, sonic, or supersonic.
Pressure, Temperature, and Density
Calculators determine the changes in static pressure, temperature, and density of the fluid as it moves through the system. These parameters are interdependent and critical for understanding the overall flow behavior.
Area and Velocity
The calculator often computes the relationship between flow area and velocity, especially critical in understanding nozzle and diffuser designs where area changes significantly impact the flow properties.
What are the different types of compressible flow calculators available?
Compressible flow calculators range from simple online tools based on basic equations to more sophisticated software packages incorporating advanced numerical methods. Simple calculators might handle isentropic flows only, while advanced tools can account for frictional effects, heat transfer, and more complex geometries. Some are standalone applications, while others are integrated modules within larger CFD software suites.
What are the limitations of using a compressible flow calculator?
The limitations include the accuracy dependence on the input data and the simplifying assumptions of the underlying model. Complex flows, including those with shocks, boundary layers, or significant heat transfer, may require more sophisticated CFD methods than a basic calculator provides. Users must have a solid understanding of the theoretical background to interpret results correctly and be aware of the model’s inherent limitations.
How accurate are compressible flow calculators?
The accuracy varies considerably depending on the calculator’s complexity and the assumptions built into its model. Simple calculators may provide reasonable approximations for idealized flow conditions, but the accuracy decreases as the flow becomes more complex. Advanced calculators using sophisticated numerical methods can offer greater accuracy but may require more input data and computational resources.